Lompat ke konten Lompat ke sidebar Lompat ke footer

Latihan Soal Dan Jawaban Matematika Kelas 8 Latihan 1.3 : Pembahasan Soal Matematika Kelas 9 Halaman 30 Latihan 1 3 Nomor 6 Sampai 10 Pembagian Bilangan Pangkat Ringtimes Bali - • soal pkn kelas 4 semester 1 dan kunci jawaban pas/uas pilihan ganda & essay berikut pembahasan soal …

Latihan soal pas matematika kelas 8 smp mts ini dapat menjadi referensi belajar peserta didik dalam menghadapi penilaian akhir semester … Latihan soal dan pembahasan pola bilangan (pola bilangan aritmatika dan geometri) kelas 8 widi | wednesday, 7 july 2021 halo teman belajar ajar hitung. Hari ini kita mau latihan soal tentang pola bilangan ya. Latihan soal pas matematika kelas 8 smp mts ini dapat menjadi referensi belajar peserta didik dalam menghadapi penilaian akhir semester … 30.11.2021 · matematikan smp kelas 8 sudah mulai memasuki berbagai pengembangan matematika yang lebih variatif.

Latihan soal pas matematika kelas 8 smp mts ini dapat menjadi referensi belajar peserta didik dalam menghadapi penilaian akhir semester … Kunci Jawaban Matematika Kelas 10 Latihan 1 3 Halaman 21 Bab 1 Teras Edukasi
Kunci Jawaban Matematika Kelas 10 Latihan 1 3 Halaman 21 Bab 1 Teras Edukasi from lh3.googleusercontent.com
25.11.2021 · latihan soal pas matematika kelas 8 smp mts 2021 dan kunci jawaban. Makanya ikuti soal pas matematika kelas 8 ini yang dilengkapi dengan kunci jawaban sebagai latihan dalam melaksanakan pas. 01.12.2021 · latihan soal dan kunci jawaban pas ips kelas 8 semester ganjil, foto: 30.11.2021 · matematikan smp kelas 8 sudah mulai memasuki berbagai pengembangan matematika yang lebih variatif. Berikut ini kami bagikan latihan soal pas matematika kurikulum 2013 kelas 8 smp mts tahun 2021 dan kunci jawaban. Hari ini kita mau latihan soal tentang pola bilangan ya. Latihan soal pas matematika kelas 8 smp mts ini dapat menjadi referensi belajar peserta didik dalam menghadapi penilaian akhir semester … Latihan soal pas matematika kelas 8 smp mts ini dapat menjadi referensi belajar peserta didik dalam menghadapi penilaian akhir semester …

Berikut ini kami bagikan latihan soal pas matematika kurikulum 2013 kelas 8 smp mts tahun 2021 dan kunci jawaban.

Simak pembahasan kunci jawaban soal materi matematika kelas 8 smp / mts semester 1 (ganjil) … Berikut ini kami bagikan latihan soal pas matematika kurikulum 2013 kelas 8 smp mts tahun 2021 dan kunci jawaban. 30.11.2021 · matematikan smp kelas 8 sudah mulai memasuki berbagai pengembangan matematika yang lebih variatif. Berikut ini kami bagikan latihan soal pas matematika kurikulum 2013 kelas 8 smp mts tahun 2021 dan kunci jawaban. Ramadhannotonegoro via pixabay.com inilah soal dan kunci jawaban pas ips kelas 8 smp semester ganjil yang dilansir dari buku super complete smp/mts 7,8,9, elis khoerunnisa, s.pd., ‎dkk., (2020:52) : Kali ini akan saya bagikan latihan soal ipa kelas 8 smp mts semester ganjil. • soal pkn kelas 4 semester 1 dan kunci jawaban pas/uas pilihan ganda & essay berikut pembahasan soal … 01.12.2021 · latihan soal dan kunci jawaban pas ips kelas 8 semester ganjil, foto: Matematikastudycenter rangkuman soal ujian nasional … 25.10.2021 · adapun soal adalah untuk latihan menghadapi ulangan akhir semester (uas), atau penilaian akhir semester (pas) materi matematika kelas 8 smp / mts semester 1 (ganjil) tahun 2021. Dalam artikel ini tersedia soal matematika smp dalam bentuk pilihan ganda dan pembahasannya. 25.11.2021 · latihan soal pas matematika kelas 8 smp mts 2021 dan kunci jawaban. Latihan soal pas matematika kelas 8 smp mts ini dapat menjadi referensi belajar peserta didik dalam menghadapi penilaian akhir semester …

Berikut ini kami bagikan latihan soal pas matematika kurikulum 2013 kelas 8 smp mts tahun 2021 dan kunci jawaban. 25.11.2021 · latihan soal pas matematika kelas 8 smp mts 2021 dan kunci jawaban. Hari ini kita mau latihan soal tentang pola bilangan ya. 08.11.2021 · latihan soal pas matematika kelas 8 smp mts 2021 dan kunci jawaban. 30.11.2021 · matematikan smp kelas 8 sudah mulai memasuki berbagai pengembangan matematika yang lebih variatif.

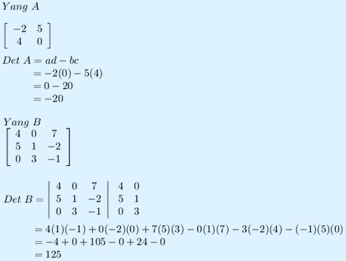
25.11.2021 · latihan soal pas matematika kelas 8 smp mts 2021 dan kunci jawaban. Jawaban Latihan 1 3 Bab 1 Matriks Mtk Kelas 12 Halaman 30 Basbahanajar Com
Jawaban Latihan 1 3 Bab 1 Matriks Mtk Kelas 12 Halaman 30 Basbahanajar Com from id-static.z-dn.net
30.11.2021 · matematikan smp kelas 8 sudah mulai memasuki berbagai pengembangan matematika yang lebih variatif. Matematikastudycenter rangkuman soal ujian nasional … 08.11.2021 · latihan soal pas matematika kelas 8 smp mts 2021 dan kunci jawaban. 29.11.2021 · soal pas matematika kelas 8 smp semester 1, kunci jawaban latihan uas pilihan ganda dan essay selasa, 30 november 2021 11:40 soal dan jawaban latihan uas dan pas untuk siswa kelas 8 smp / mts pelajaran matematika semester ganjil Berikut ini kami bagikan latihan soal pas matematika kurikulum 2013 kelas 8 smp mts tahun 2021 dan kunci jawaban. Kumpulan contoh soal matematika kelas 8 smp semester 1 dan 2 kunci jawaban pembahasannya di pdf kurikulum 2013 untuk ukk uts uas. Simak pembahasan kunci jawaban soal materi matematika kelas 8 smp / mts semester 1 (ganjil) … Latihan soal dan pembahasan pola bilangan (pola bilangan aritmatika dan geometri) kelas 8 widi | wednesday, 7 july 2021 halo teman belajar ajar hitung.

Makanya ikuti soal pas matematika kelas 8 ini yang dilengkapi dengan kunci jawaban sebagai latihan dalam melaksanakan pas.

Makanya ikuti soal pas matematika kelas 8 ini yang dilengkapi dengan kunci jawaban sebagai latihan dalam melaksanakan pas. Contoh soal dan jawaban matematika kelas 8 semester 2 semoga dengan mengerjakan soal try out latihan online pas uas matematika smp ini adik adik akan semakin. 25.10.2021 · adapun soal adalah untuk latihan menghadapi ulangan akhir semester (uas), atau penilaian akhir semester (pas) materi matematika kelas 8 smp / mts semester 1 (ganjil) tahun 2021. 01.12.2021 · latihan soal dan kunci jawaban pas ips kelas 8 semester ganjil, foto: 30.11.2021 · matematikan smp kelas 8 sudah mulai memasuki berbagai pengembangan matematika yang lebih variatif. Dalam artikel ini tersedia soal matematika smp dalam bentuk pilihan ganda dan pembahasannya. Kali ini akan saya bagikan latihan soal ipa kelas 8 smp mts semester ganjil. Sementara soal yang disajikan dalam bentuk pilihan ganda dan essay. 25.11.2021 · latihan soal pas matematika kelas 8 smp mts 2021 dan kunci jawaban. Hari ini kita mau latihan soal tentang pola bilangan ya. Berikut ini kami bagikan latihan soal pas matematika kurikulum 2013 kelas 8 smp mts tahun 2021 dan kunci jawaban. Kumpulan contoh soal matematika kelas 8 smp semester 1 dan 2 kunci jawaban pembahasannya di pdf kurikulum 2013 untuk ukk uts uas. 29.11.2021 · soal pas matematika kelas 8 smp semester 1, kunci jawaban latihan uas pilihan ganda dan essay selasa, 30 november 2021 11:40 soal dan jawaban latihan uas dan pas untuk siswa kelas 8 smp / mts pelajaran matematika semester ganjil

29.11.2021 · soal pas matematika kelas 8 smp semester 1, kunci jawaban latihan uas pilihan ganda dan essay selasa, 30 november 2021 11:40 soal dan jawaban latihan uas dan pas untuk siswa kelas 8 smp / mts pelajaran matematika semester ganjil 08.11.2021 · latihan soal pas matematika kelas 8 smp mts 2021 dan kunci jawaban. 25.10.2021 · adapun soal adalah untuk latihan menghadapi ulangan akhir semester (uas), atau penilaian akhir semester (pas) materi matematika kelas 8 smp / mts semester 1 (ganjil) tahun 2021. Contoh soal dan jawaban matematika kelas 8 semester 2 semoga dengan mengerjakan soal try out latihan online pas uas matematika smp ini adik adik akan semakin. Sementara soal yang disajikan dalam bentuk pilihan ganda dan essay.

30.11.2021 · matematikan smp kelas 8 sudah mulai memasuki berbagai pengembangan matematika yang lebih variatif. Grit Educare
Grit Educare from www.grit-educare.com
• soal pkn kelas 4 semester 1 dan kunci jawaban pas/uas pilihan ganda & essay berikut pembahasan soal … 08.11.2021 · latihan soal pas matematika kelas 8 smp mts 2021 dan kunci jawaban. 01.12.2021 · latihan soal dan kunci jawaban pas ips kelas 8 semester ganjil, foto: Latihan soal pas matematika kelas 8 smp mts ini dapat menjadi referensi belajar peserta didik dalam menghadapi penilaian akhir semester … Hari ini kita mau latihan soal tentang pola bilangan ya. Kali ini akan saya bagikan latihan soal ipa kelas 8 smp mts semester ganjil. Kumpulan contoh soal matematika kelas 8 smp semester 1 dan 2 kunci jawaban pembahasannya di pdf kurikulum 2013 untuk ukk uts uas. 25.11.2021 · latihan soal pas matematika kelas 8 smp mts 2021 dan kunci jawaban.

Sementara soal yang disajikan dalam bentuk pilihan ganda dan essay.

30.11.2021 · matematikan smp kelas 8 sudah mulai memasuki berbagai pengembangan matematika yang lebih variatif. Hari ini kita mau latihan soal tentang pola bilangan ya. 01.12.2021 · latihan soal dan kunci jawaban pas ips kelas 8 semester ganjil, foto: Kali ini akan saya bagikan latihan soal ipa kelas 8 smp mts semester ganjil. Makanya ikuti soal pas matematika kelas 8 ini yang dilengkapi dengan kunci jawaban sebagai latihan dalam melaksanakan pas. Dalam artikel ini tersedia soal matematika smp dalam bentuk pilihan ganda dan pembahasannya. Latihan soal dan pembahasan pola bilangan (pola bilangan aritmatika dan geometri) kelas 8 widi | wednesday, 7 july 2021 halo teman belajar ajar hitung. • soal pkn kelas 4 semester 1 dan kunci jawaban pas/uas pilihan ganda & essay berikut pembahasan soal … Simak pembahasan kunci jawaban soal materi matematika kelas 8 smp / mts semester 1 (ganjil) … Sementara soal yang disajikan dalam bentuk pilihan ganda dan essay. 25.11.2021 · latihan soal pas matematika kelas 8 smp mts 2021 dan kunci jawaban. Contoh soal dan jawaban matematika kelas 8 semester 2 semoga dengan mengerjakan soal try out latihan online pas uas matematika smp ini adik adik akan semakin. Matematikastudycenter rangkuman soal ujian nasional …

Latihan Soal Dan Jawaban Matematika Kelas 8 Latihan 1.3 : Pembahasan Soal Matematika Kelas 9 Halaman 30 Latihan 1 3 Nomor 6 Sampai 10 Pembagian Bilangan Pangkat Ringtimes Bali - • soal pkn kelas 4 semester 1 dan kunci jawaban pas/uas pilihan ganda & essay berikut pembahasan soal …. Sementara soal yang disajikan dalam bentuk pilihan ganda dan essay. 30.11.2021 · matematikan smp kelas 8 sudah mulai memasuki berbagai pengembangan matematika yang lebih variatif. Matematikastudycenter rangkuman soal ujian nasional … Simak pembahasan kunci jawaban soal materi matematika kelas 8 smp / mts semester 1 (ganjil) … Contoh soal dan jawaban matematika kelas 8 semester 2 semoga dengan mengerjakan soal try out latihan online pas uas matematika smp ini adik adik akan semakin.

Posting Komentar untuk "Latihan Soal Dan Jawaban Matematika Kelas 8 Latihan 1.3 : Pembahasan Soal Matematika Kelas 9 Halaman 30 Latihan 1 3 Nomor 6 Sampai 10 Pembagian Bilangan Pangkat Ringtimes Bali - • soal pkn kelas 4 semester 1 dan kunci jawaban pas/uas pilihan ganda & essay berikut pembahasan soal …"